初冬的校园,因一份跨越院系的善意而暖意融融。数字经济学院T24网络舆情监测班董仙东与智能信息产业学院T24新能源汽车1班龚新华两位残疾学子,以轮椅为纽带,上演了一段互帮互助、彼此照亮的动人佳话,彰显了残疾学子守望相助的深厚情谊与当代青年的责任担当。

董仙东同学因肢体残疾,日常出行多有不便,学校在得知情况后,第一时间为她免费配备了崭新轮椅,用贴心举措解决了她的出行难题。当她从辅导员听到同校的龚新华同学,也身患肢体残疾,且尚未配备轮椅,学习生活面临诸多困扰时,董仙东内心深受触动。尽管自己也刚刚拥有了新的轮椅,刚刚有了一些辅助的便利,但她毫无犹豫地让出这把刚收到的轮椅:“他比我更需要这把轮椅,能帮到他我很开心。”朴实的话语间,满是真诚与无私。

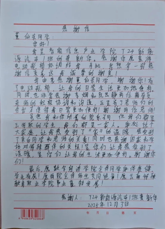
在双方辅导员李娴老师和阮思静老师的积极协调下,这把凝聚着学校关怀与董仙东爱心的轮椅,顺利送到了龚新华手中。收到轮椅的那一刻,龚新华激动不已,眼中满是感激。为表达这份沉甸甸的谢意,他特意写下感谢信,字里行间饱含真情:“有了电动轮椅,我的日常生活更加便利。感谢董仙东同学的无私相助,感谢两位辅导员老师的热心协调,更感谢学校这个大家庭的温暖关怀。我们虽属不同院系,但都是一家人。”


收到感谢信后,董仙东及时回信,字里行间满是共情与期许:“同为残疾学子,更能体会彼此的不易,互帮互助是应该做的事。希望这把轮椅能真正帮到你,也期待我们在今后的学习生活中相互鼓励、共同进步。作为特职院的一份子,我们就该相互理解、相互温暖,让这个大家庭充满爱。”这把特殊的轮椅不仅是出行的辅助工具,更成为连接爱心、传递温暖的象征。董仙东同学无偿让渡轮椅的善举,不仅展现了当代大学生无私奉献的精神风貌,也生动诠释了残疾学子之间同舟共济、守望相助的宝贵品质。他们虽面临身体上的不便,却用心灵的温度彼此支撑,用实际行动书写着人间大爱。
双方辅导员表示,将以此次事件为契机,在班级和学院内大力宣扬这种互帮互助的正能量,引导更多同学传承中华美德、传递校园温情。



